In de farmacie worden vele verschillende polaire hulpstoffen toegepast, voor uiteenlopende doeleinden.
Bijvoorbeeld:
- Smaakcorrigentia voor orale vloeibare preparaten. (sorbitol, saccharose, citroenzuur)
- Koolhydraatbron in infusen. (glucose)
- viscociteitverhoger/gelvormer in dermatica, oog- en oordruppels en orale vloeibare preparaten. (cellulosederivaten, glycerol, carbomeren, propyleenglycol, saccharose)
- humectans cremes en gelen. (sorbitol)
- conservering vloeibare en halfvaste preparaten (saccharose, glycerol, propyleenglycol)
- (redelijk) inerte vulstof in capsules, tabletten, zetpillen. (lactose, cellulose)
- desintegratiemiddel voor tabletten. (zetmeel)
- buffer (boorzuur/borax, citroenzuur/citraat)
Omdat veel preparaten een of meer polaire hulpstoffen bevatten zal iedere student redelijk vaak te maken hebben met deze groep van stoffen. Daarom is het nuttig om in ieder geval de basale kennis van deze groep paraat te hebben.
Verschillende soorten polaire hulpstoffen
Binnen de polaire hulpstoffen zijn ruwweg in drie groepen onder te verdelen:
1. De koolhydraten, zoals:
- Monosacchariden (glucose en fructose)
- Disacchariden(saccharose en lactose)
- Polysacchariden (zetmeel en cellulose)
- Derivaten van polysacchariden (voornamelijk derivaten van cellulose)
2. De meerwaardige alcoholen, zoals:
3. De meerwaardige carbonzuren zoals:
Problemen bij de analyse
Zowel de koolhydraten, carbonzuren als de polyalcoholen zijn polaire stoffen met ongeveer dezelfde functionele groepen. Verder hebben beide groepen geen chromofoor. Voor de identiteits- en gehaltebepaling van deze stoffen heeft dit een aantal gevolgen:
- Door de grote overeenkomst in fysisch en chemisch gedrag zijn veel polaire hulpstoffen vaak niet van elkaar te scheiden door middel van extractie.; deze stoffen zullen zich altijd in de waterfase bevinden.
- Door de hoge mate van polariteit zijn de normale DLC-platen niet erg geschikt om deze verbindingen van elkaar te scheiden.
- Vanwege de hoge mate van polariteit is gaschromatografie niet (direct) toepasbaar.
- Door het gebrek aan een chromofoor is HPLC met UV-detectie niet toepasbaar.
- Door de grote overeenkomst in chemisch gedrag zijn er weinig specifieke chemische reacties.
Doel van het college polaire hulpstoffen
Tijdens dit college zal worden ingegaan op de achtergrond van de chemische eigenschappen van polaire hulpstoffen die veel in geneesmiddelen gebruikt worden. Hierbij wordt begonnen met de meest simpele bouwsteen: glucose. Aan de hand hiervan zullen ook de eigenschappen van de di- en polysacchariden behandeld worden. Tenslotte wordt ook ingegaan op de eigenschappen van de polyalcoholen en meerwaardige carbonzuren. De nadruk ligt hierbij op de verschillen en overeenkomsten met de chemische eigenschappen van de sacchariden.
Naast het bespreken van de eigenschappen van de stoffen zal ook worden ingegaan hoe bepaalde stoffen het best aangetoond kunnen worden. Hierbij worden zowel chemische als chromatografische technieken behandeld.
Algemeen
Het woord koolhydraat is de klassieke naam voor de groep stoffen die als chemische formule Cx(H2O)y hebben. Hieronder vallen dus alle mono- di- en polysacchariden.
Een algemene aantoningsreactie op koolhydraten is de reactie van Molisch.
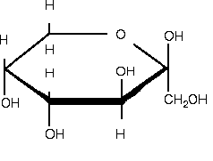
De meest bekende monosaccharide is glucose. Dit wordt gewonnen uit zetmeel door zure en/of enzymatische hydrolyse. Als vaste stof zit glucose in de beta-cyclostructuur (zie onderstaand figuur). In oplossing komt glucose zowel in de beta- als de alfastructuur voor, welke met elkaar in evenwicht zijn. Beide vormen kunnen spontaan in elkaar overgaan, dit proces wordt mutarotatie genoemd. Het * in de onderstaande afbeelding geeft aan bij welk koolstofatoom de ruimtelijk configuratie verschilt.
Dit verschijnsel is in het begin van deze eeuw uitgebreid door Lowry onderzocht. Hieruit bleek dat onder invloed van een amfoteer milieu (een milieu dat zowel een proton kan opnemen als kan afstaan) de ringstructuur van het glucose kan openklappen bij de O-CHOH groep (zie onderstaande afbeelding). In de open vorm kan vervolgens op twee manieren ringsluiting plaatsvinden. De aldehydegroep van de open vorm kan, tijdens het opnemen van een proton, zowel naar beneden als omhoog komen te staan. Alle suikers die volgens dit principe "openklappen" worden open suikers genoemd.
Optische rotatie
De alfa- en beta-structuur hebben beide een andere specifieke optische rotatie, de alfastructuur een hele hoge (102.2�), de betastructuur een veel lagere (18.5�). Omdat de meeste commercieel verkrijgbare glucose als vaste stof de alfastructuur heeft, is de specifieke optische rotatie van een vers bereide glucoseoplossing heel hoog, het instellen van het evenwicht tussen beide vormen is namelijk vrij traag. In de loop van de tijd zal de specifieke optische rotatie van deze oplossing naar een evenwichtswaarde toe gaan. Deze is ongeveer 52.5� - 52.7� (afhankelijk van de temperatuur en concentratie). Deze rotatie komt overeen met ongeveer 64% beta-glucose en 36% alfa-glucose. Indien men met vers bereide oplossingen werkt, dient men dus rekening te houden met het instellen van dit evenwicht. Door toevoegen van een geringe hoeveelheid zuur of base wordt de instelling van het evenwicht versneld. Voor een uitgewerkt voorschrift voor de bepaling van de optische rotatie van glucose, zie de Ph. Eur. III
Reducerend vermogen
Behalve op de optische rotatie heeft het openklappen van de ringstructuur nog een tweede belangrijk effect, namelijk op het reducerend vermogen van suikers. Alle suikers die open kunnen klappen hebben reducerend vermogen. Dit valt te verklaren door het feit dat er in de open vorm een vrije aldehydegroep aanwezig is. Deze groep bezit reducerend vermogen.
Complexerend vermogen
Verder heeft het suiker door zijn vicinale alcoholgroepen (twee alcoholen aan naast elkaar gelegen koolstofatomen) het vermogen om complexen te vormen met verscheidene metaalionen. Een bekende manier op op het reducerend en complexerend vermogen van een suiker te testen is met behulp van tweewaardig kopersulfaat. Het principe van deze reactie is dat eerst het suiker in alkalisch milieu een blauw complex vormt met tweewaardig koper; (cuprifiel vermogen). Tijdens het verwarmen wordt het tweewaardig koper gereduceerd tot eenwaardig koper. In alkalisch milieu slaat dit neer tot het rode koper(I)oxide.
De grondstof fructose heeft de beta-pyranosevorm (= 6-ring). De optische rotatie van deze verbinding is ongeveer -135.5�. In oplossing daarentegen kan de alfa-pyranosevorm ontstaan Via een andere ringsluiting kan ook een vijfring (furanose) gevormd worden, welke ook een alfa en een beta-structuur kan aannemen. Met NMR is bepaald dat bij 31� celsius het evenwicht als volgt ligt: 2.65% alfa-pyranose, 64.8% beta-pyranose, 6.5% alfa-furanose, 25.25% beta-furanose en 0.8% open vorm.
Optische rotatie
Alle van de bovenstaande vormen van fructose hebben een eigen specifieke rotatie. Omdat de ligging van het evenwicht veranderd met de temperatuur, is de specifieke optische rotatie van fructose sterk temperatuurafhankelijk, voor kwantitatieve doeleinden moet hiermee altijd rekening gehouden worden. Net als bij glucose geldt dat bij het gebruik van vers bereide oplossingen, men er rekening mee moet houden dat het instellen van dit evenwicht tijd kost. De specifieke optische rotatie van fructose (bij 20�) is ongeveer -92.3�.
Bepaling van de optische rotatie van fructose volgens de Ph. Eur. III
Reducerend vermogen
Ook fructose heeft reducerende eigenschappen. De verklaring hiervoor is dezelfde als die voor glucose.
Saccharose is een disaccharide dat is opgebouwd uit beta-D-fructofuranose en alfa-D-glucopyranose welke via de CO-CHOH groepen gekoppeld zijn. Hierdoor is het niet langer mogelijk om de open vorm aan te nemen. Saccharose is daarom een gesloten suiker en vertoont dus geen mutarotatie en bezit ook geen reducerende eigenschappen. Omdat saccharose maar in 1 vorm voorkomt is de specifieke optische rotatie ook veel minder concentratie- of temperatuurafhankelijk dan bijvoorbeeld de rotatie van fructose. De specifieke optische rotatie van saccharose bij 20� celcius is +66,4�. In zuur milieu kan saccharose vrij makkelijk gehydrolyseerd worden tot glucose en fructose. Na zure hydrolyse van een saccharoseoplossing zal deze oplossing dus wel reducerend vermogen bezitten. Dit specifieke gedrag wordt ook als identiteitstest gebruikt in de Ph. Eur. III. Een gevolg van dit gedrag is dat het aantonen van saccharose in een zure oplossing met chemische reacties vrij ingewikkeld is, er is namelijk altijd een deel gehydrolyseerd. In een zuur preparaat zal daarom vaak gekozen worden voor het gebruik van een DLC voor het aantonen van het aanwezige suiker.
Lactose is een disaccharide die is opgebouwd uit beta-D-galactopyranosyl en glucopyranose. Omdat de O-CHOH groep van het glucosegedeelte niet geblokkeerd is, vertoont lactose zowel mutarotatie als reducerende eigenschappen. De specifieke optische rotatie bij 25� celcius bedraagd +55,5�. Uit verdere studie blijkt dat bij dit evenwicht 37,8% in de alfa-lactose vorm zit en 62,2% in de beta-lactose vorm. Door een waterige oplossing snel droog te dampen kan amorf lactose worden verkregen. Hierin komen de alfa en betavorm in dezelfde verhouding voor als in de oplossing.
Behalve de optische rotatie en het reducerend vermogen is voor lactose een zeer specifieke reactie bekend: De reactie van Wöhlk.
DLC voor suikers
Hoewel suikers in principe te polair zijn om goed met een normal phase sillicaplaat te chromatograferen, staat er in de Ph. Eur. III toch een DLC-systeem beschreven waarmee de suikers een redelijk loopgedrag vertonen. Het complexe loopmiddel lijkt erop te wijzen dat nu niet langer sprake is van een "normal phase chromatografie" maar dat de plaat als drager fungeert voor een van de polaire delen van het loopmiddel. Hierdoor is er sprake van een soort verdelingschromatografie.
Als detectie wordt thymol in zwavelzuur gebruikt, dit reageert volgens hetzelfde principe als Molisch. (Waarschijnlijk zal Molisch dus ook toegepast kunnen worden op de plaat).
Amylose
Zetmeel is een polysaccharide welke is opgebouwd uit 1,4 alfa-gekoppelde glucose-eenheden. Hiernaast staat hiervan de simpelste structuur, het amylose. Amylose bestaat uit 300-900 eenheden die zich in een helix-structuur ordenen. Elke winding bestaat uit 6 glucose-eenheden.
De gevormde helix heeft een binnendiameter van ongeveer 0.5 nm. In deze holte kan Jood, in de vorm van I5- ingevangen worden. Dit complex heeft een intensief blauwe kleur, dit maakt zetmeel een zeer geschikte kleurindicator bij jodometrische titraties. Verder is het amylose onoplosbaar in koud water, door de helix-structuur kunnen interne waterstofbruggen het molecuul stabiliseren waardoor de oplosbaarheid afneemt ten opzichte van een structuur die niet door interne waterstofbruggen gestabiliseerd wordt. In warm water is het beter oplosbaar (waarschijnlijk door gedeeltelijke splitsing).
Amylopectine
Naast het amylose bestaat zetmeel uit een tweede stof: Amylopectine. Deze stof is op dezelfde manier opgebouwd als amylose, echter ongeveer 1 op de 20 glucose-eenheden is niet 1,4 maar 1,6 gekoppeld. Hierdoor ontstaat een vertakt netwerkstructuur. Het amylopectine bestaat uit 9000-10.000 eenheden. Ook deze stof kan een complex met Jood vormen De kleur hiervan is rood-violet. De oplosbaarheid in koud water is matig en wordt niet beter bij verwarmen.
Identificatie a.h.v. fysische eigenschappen
Naast het oplosgedrag is er een ander fysisch kenmerk dat zeer specifiek is voor zetmeel, de kristalvorm. Zetmeel heeft namelijk dubbelbrekende kristallen die in gepolariseerd licht zichtbaar zijn. Door met het occulair van een microscoop te draaien kunnen tegen een donkere achtergrond oplichtende korrels gezien worden. Deze korrels hebben een, voor zetmeel specifiek, kruis vanuit het groeipunt van de korrel. De afbeelding rechts illustreert hoe zetmeel onder een gepolariseerde microscoop eruit zal zien.
Voor meer informatie over deze (en andere) eigenschappen van zetmeel zie: de website van de universiteit van hamburg.
Behalve de algemene structuur van de korrel is er een tweede kenmerkend eigenschap van de korrels, de grootte. Afhankelijk van welk natuurproduct als grondstof is gebruikt verschilt de grootte van de korrels. Een goed voorbeeld hiervan is het verschil tussen rijstzetmeel (links) en aardappelzetmeel (rechts). Door een onbekende zetmeel microscopisch te vergelijken met de verschillende soorten die in de farmacie vaak gebruikt worden (rijst, aardappel, mais en tarwezetmeel) kan zeer snel een idee verkregen worden welke soort gebruikt is.
Net als zetmeel is ook cellulose opgebouwd uit glucose-eenheden, maar nu zijn deze beta-gekoppeld. Het in de farmacie vaak gebruikte microkristallijne cellulose bestaat uit deeltjes van 20-150 micrometer. De naam microkristallijn is trouwens erg ongelukkig gekozen, net als vele andere natuurlijke polymeren komt bij het cellulose zowel de kristallijne als de niet-kristallijne vorm door elkaar voor. Het is niet oplosbaar in water, verdunde zuren en basen of organische oplosmiddelen. Cellulose vormt geen gekleurd complex met jood, maar na hydrolyse met zwavelzuur of zinkchloride wordt er echter wel een blauw/violet complex gevormd. (Niet zo duidelijk als bij zetmeel omdat slechts de buitenkant van de korrels kleuren)
Identificatie a.h.v. fysische eigenschappen
Aangezien ook cellulose dubbelbrekend is, zal met gepolariseerd licht onder de microscoop oplichtende staaf-vormige kristallen te zien zijn tegen een donkere achtergrond.
Als het cellulose op een hydroxylgroep gesubstitueerd wordt ontstaat er een heel scala aan nieuwe stoffen die ook als hulpstof in de farmacie gebruikt worden: de cellulosederivaten. Veel voorkomende derivaten zijn (hydroxy)methyl-, (hydroxy)ethyl-,(hydroxy)propyl-, acetyl en phtalyl-gederivatiseerd cellulose (of mengsels daarvan). Deze stoffen zijn zeer geschikt als viscositeitsverhoger/slijmvormer in vloeibare preparaten. Tijdens de analyse van preparaten waarin cellulosederivaten verwerkt zijn zullen de volgende problemen optreden:
- Problemen bij het aantonen van de identiteit van het derivaat.
- Storing bij de analyse van de werkzame bestanddelen van het preparaat.
Aantonen van het derivaat
Het grote probleem is dat alle cellulosederivaten wat chemische eigenschappen betreft erg op elkaar lijken, daarom is het moeilijk met deze met aantoningsreacties van elkaar te onderscheiden. De enige reacties die uitgevoerd kunnen worden zijn niet specifiek:
Waar verder nog naar gekeken kan worden is de oplosbaarheid van het cellulosederivaat in koud en warm water en in organische oplosmiddelen.
Aangezien beide chemische reacties lastig uit te voeren zijn op het practicum en gemakkelijk gestoord worden door andere hulpstoffen, zal in de meeste gevallen informatie over de identiteit uit de verschillen in oplosbaarheden komen. Verdere bepalingen met chromatografische methodes zijn niet of nauwelijks mogelijk:
- HPLC: Geen chromofoor dus op dit practicum niet te bepalen. Een bijkomend probleem is dat het inspuiten van deze stoffen waarschijnlijk zeer slecht is voor de kolom.
- DLC: Door zijn hoge viscociteit (en polariteit) zal de stof niet alleen op het opbrengpunt blijven zitten, het zal ook het loopgedrag van de andere stoffen zeer nadelig beinvloeden. Door de hoge viscociteit zal het loopmiddel namelijk meer om de vlek heen stomen wat leidt tot extreme streepvorming.
- GC: Door de hoge polariteit en polymerisatiegraad zijn de cellulosederivaten niet vluchtig genoeg om direct op een GC bepaald te worden.
Storing bij de analyse van de werkzame bestanddelen
Zoals hierboven al is beschreven zal, in aanwezigheid van een cellulosederivaat, het vaak moeilijk zijn om gebruik te maken van een HPLC of DLC methode om andere componenten te identificeren. Voor DLC valt hier redelijk aan te ontkomen door het cellulosederivaat o.i.v van warmte of een organisch oplosmiddel neer te laten slaan. De bovenstaande vloeistof kan na verdunnen vaak wel opgebracht worden. Voor een kwantitatieve HPLC bepaling is dit echter moeilijker. Het eerste probleem is: Hoe reproduceerbaar gebeurt dit neerslaan, wordt er niet een deel van de werkzame stof ingekapseld? Het tweede probleem is: Hoe volledig gaat het neerslaan? Als bij DLC blijkt dat het nog te visceus is, maakt dit niet zoveel uit, de platen zijn niet zo duur. Als bij het gebruik van HPLC blijkt dat het niet goed is gegaan, gaat de kwaliteit van de kolom sterk achteruit. Hierdoor zullen latere analyses veel slechter verlopen. Ook zijn de kolommen bij HPLC erg duur. Als bij dit soort preparaten er echt geen andere mogelijkheid is dan het gebruik van een HPLC-methode, kom dan altijd eerst overleggen met de practicumleiding!
Een ander probleem doet zich voor indien een werkzaam bestanddeel d.m.v. UV meting bepaald moet worden. De te bepalen stof moet dan geextraheerd worden met een organisch oplosmiddel. Bij deze extractie is het mogelijk dat UV-absorberende stoffen vrijkomen uit het vulmiddel. Indien bijvoorbeeld met zoutzure alcohol geextraheerd wordt, is de kans groot dat cellulose UV-absorberende stoffen afgeeft. Tevens moet men rekening houden met afgifte van storende bestanddelen uit het papieren (=cellulose) filter dat gebruikt wordt om de opgeloste stoffen van het vulmiddel te scheiden.
Algemeen
Door de meerdere alcoholgroepen is het kookpunt van deze stoffen sterk verhoogd. Ook het soortelijk gewicht is vrij hoog. Omdat alleen alcoholgroepen aanwezig zijn heeft deze groep niet zeer sterke oxiderende of reducerende eigenschappen. Door de hydoxylgroepen vertoont een meerwaardig alcohol wel complexerende eigenschappen. Het heeft bijvoorbeeld net als een koolhydraat cuprifiel vermogen (alleen stap 1: het complexerend vermogen).
Een specifiekere eigenschap van meerwaardige alcoholen is het vermogen om een complex te vormen met borax/boorzuur. Omdat bij deze complexvorming een proton wordt afgescheden kan dit principe bijvoorbeeld als identiteitsreactie of voor een gehaltebepaling gebruikt worden.
Een tweede bekende reactie op meerwaardige alcoholen is de reactie van Malaprade. Hierbij wordt specifiek de C-C binding van de vicinale (=naast elkaar gelegen) alcoholen geoxideerd.
Polyalcoholen: Propyleenglycol:
Aantonen met een chemische reactie:
In een preparaat is het vaak niet mogelijk om de brekingsindex of de dichtheid als identiteitsreacties te gebruiken, zoals dat in de Ph. Eur. III gebeurt. Het commentaar op de DAB geeft echter wel een redelijk specifieke kleurreactie: In geconc. zwavelzuur milieu ontstaan na afsplitsing van water een mengsel van allylalcohol en propionaldehyde. De laatstegeeft samen met ninhydrine een violette kleur geven waarvan het maximum ongeveer bij 595 nm ligt. Deze reactie is soms ook te gebruiken als gehaltebepaling door de extinctie te meten (het lineaire gebied is 4-40 microgram per 10 ml).
Aantonen met DLC:
Om goed onderscheid te maken tussen glycerol en propyleenglycol is een redelijk simpele DLC voorhanden.
Aantonen met GC:
Als een van de weinige polyalcoholen kan propyleenglycol wel direct op een GC bepaald worden. Voor zowel de identificatie als de gehaltebepaling kan hiervoor gekozen worden.
Aantonen met GC:
Door de derde alcohol-groep is glycerol een stuk polairder dan propyleenglycol. Het is dan ook niet mogelijk om glycerol direct op de GC te bepalen. Na acetylering van de alcoholgroepen is het echter wel mogelijk. Deze methode kan echter alleen voor de identificatie worden gebruikt. De acetylering is niet goed reproduceerbaar en verloopt niet stoeichiometrisch, hierdoor kan dit niet gebruikt worden voor een eventuele gehaltebepaling.
Aantonen met DLC:
Identificatie met een DLC is nog steeds wel mogelijk (al zullen de vlekken waarschijnlijk niet erg symetrisch zijn).
Aantoning met chemische reacties:
Sorbitol heeft als actieve groepen alleen 6 alcoholgroepen. Verwachting is dan ook dat sorbitol nauwelijks reducerend gedrag vertoond. Toch wordt in sommige voorschriften reducerend vermogen als identifiteitstest voorgeschreven. Een voorbeeld hiervan is in het LNA. Deze reactie lijkt natuurlijk onzinnig omdat het sorbitol van zichzelf geen reducerende eigenschappen bezit, toch geeft ook het DAB deze reactie aan als identificatiereactie. Wat in ieder geval wel zeker is, is dat koper(II) niet gereduceerd wordt door een polyalcohol.
Na oxidatie met bijvoorbeeld permanganaat vertoond sorbitol echter wel reducerende eigenschappen, deze reactie is wel vrij specifiek voor sorbitol (en andere poly-alcoholen).
Aantonen met DLC:
Identificatie met een DLC is mogelijk, het voorschrift uit de Ph. Eur. III blijkt redelijk te werken.
Aantonen met GC:
Ook sorbitol is veel te polair om direct op de GC te bepalen. Behalve dat het sterk polaire verbinding een slecht gedrag op de kolom hebben, is niet eens mogelijk om sorbitol is de gasfase te brengen. De hoge temperatuur leidt namelijk tot ontleding van het sorbitol. Na acetylering van de alcoholgroepen is het echter wel mogelijk. Deze methode kan echter alleen voor de identificatie worden gebruikt. De acetylering is niet goed reproduceerbaar en verloopt niet stoeichiometrisch, hierdoor kan dit niet gebruikt worden voor een eventuele gehaltebepaling.
Aantonen m.b.v. optische rotatie
Een specifieke eigenschap van poly-alcoholen is de mogelijkheid complex te vormen met borax. Behalve de hierboven genoemde effecten, heeft het nog een effect, namelijk op de specifieke optische rotatie.
Sorbitol heeft van zichzelf een zeer lage optische rotatie maar wordt door complexvorming met borax sterk verhoogd. Deze is nu 4,0� tot 7,0� graden. Dit gedrag wordt in de Ph. Eur III ook gebruikt bij het zuiverheidsonderzoek. Als identiteitstest kan natuurlijk gekeken worden naar de rotatie voor en na toevoeging van borax, als die verschilt is er waarschijnlijk een polyalcohol aanwezig. Aan de hand van deze rotatie kan ook ongeveer het gehalte bepaald worden (als bekend is welk polyalcohol aanwezig is), of om het verschil tussen sorbitol en mannitol aan te tonen (als het gehalte ongeveer bekend is).
Het verschil tussen mannitol en sorbitol is minimaal, slechts de ruimtelijke structuur van 1 alcoholgroep verschilt. Voor mannitol zijn dan ook de zelfde reacties en technieken te gebruiken als bij sorbitol. Het enige echte verschil (behalve het loopgedrag op de plaat) is het verschil in specifieke optische rotatie na toevoeging van borax. De specifieke optische rotatie van mannitol (met borax) is 23,0 tot 25,0 graden.
Algemeen
Het meest eenvoudige carbonzuur dat in farmaca verwerkt wordt is azijnzuur. Een voorbeeld is Zure oordruppels FNA (het azijnzuur heeft hier een therpeutische waarde nl. het werkt bacterie en schimmeldodend). Enkele belangrijke eigenschappen van carbonzuren zijn:
Bij éénwaardige carbonzuren is het mogelijk een goede extractie te verkrijgen in een organisch oplosmiddel uit een waterig milieu door het instellen van een geschikte pH. Ook op grond van de vluchtigheid kan een éénwaardig carbonzuur goed gescheiden worden van andere matrixbestanddelen.
Citroenzuur:
Bij meerwaardige carbonzuren, zoals citroenzuur is het kookpunt, net als bij meerwaardige alcoholen, sterk verhoogt. Tevens is een extractie uit een waterig milieu niet mogelijk omdat het geprotoneerde zuur dusdanig polair is dat het uitstekend oplost in de waterfase.
De identiteitsreacties die in de Europese farmacopee genoemd staan zijn voornamelijk gebaseerd op het complexerend vermogen en de oxidatie van de alcoholgroep tot een aldehyde door een sterke oxidator. Deze reacties zijn te ongevoelig en te weinig specifiek om toegepast te worden in mengsels.
In tegenstelling tot de koolhydraten zijn er geen DLC of GC systemen voorhanden die gevoelig genoeg zijn om citroenzuur aan te tonen in de meeste toegepaste concentraties.
Carbomeren
Carbomeren zijn acrylzuurpolymeren met cross-linking door allylethers van saccharose of pentaerythritol. De algemene formule ziet er als volgt uit:
De carbomeren worden gebruikt als verdikkingsmiddel in tal van producten zoals verf, cosmetica en farmaceutica. De aanwezigheid kan gemakkelijk aannemelijk gemaakt worden door een paar simpele veranderingen in het milieu die de viscositeit van een carbomeer gel drastisch kunnen beïnvloeden:
- De concentratie van stoffen die fungeren als "hydroxylgroepdonoren" zoals propyleenglycol en glycerol.
- De zuurtegraad
- De ionsterkte
Plaatje verandering viscositeit door pH en door concentratie NaCl
In droge vorm is het carbomeer sterk "opgerolt". Deze opgerolde vorm kan onder invloed van de bovengenoemde veranderingen in het milieu in meer of mindere mate uitgestrekt worden. In opgerolde vorm is de viscositeit laag en in gestrekte toestand hoog.
Het analyseren van een carbomeergel is bijna niet mogelijk zonder de viscositeit te verlagen. Een extractie van een werkzaam bestanddeel is vanuit een viskeuse gel niet mogelijk en het meten van de zuurtegraad van de gel is niet mogelijk door de trage pH instelling aan de electrode van een pH-meter of pH-papier. Voor het bepalen van de juiste pH in bijvoorbeeld lidocaïnegel (pH moet ongeveer 8 zijn voor een optimaal verdovend effect), blijkt uit het voorgaande dat de viscositeit het best omlaag gebracht kan worden door de ionsterkte te vergroten.
Farmaceutische Analyse 5e-jaar |
09 juni 2000