Universiteit Utrecht Faculteit Farmacie


Farmaceutische Analyse

De reactie van Malaprade: twee basisvormen.


Gehaltebepaling van glycerol:
Thoroughly mix 0.1000 g with 45 ml of water R. Add 25.0 ml of a 21.4 g/l solution of sodium periodate R. Allow to stand protected from light for 15 min. Add 5.0 ml of a 500 g/l solution of ethylene glycol R and allow to stand protected from light for 20 min. Using 0.5 ml of phenolphthalein solution R as indicator, titrate with 0.1 M sodium hydroxide. Carry out a blank titration.
Gehaltebepaling van sorbitol:
Dissolve 0.400 g in water R and dilute to 100.0 ml with the same solvent. To 10.0 ml of the solution add 20.0 ml of a 21.4 g/l solution of sodium periodate R and 2 ml of dilutesulphuric acid R and heat on a water-bath for exactly 15 min. Cool and add 3 g of sodium hydrogen carbonate R a little at a time and 25.0 ml of 0.1 M sodium arsenite. Mix. Add 5 ml of a 200 g/l solution of potassium iodide R and allow to stand for 15 min. Titrate with 0.05 M iodine until the first trace of yellow colour appears. Carry out a blank titration.
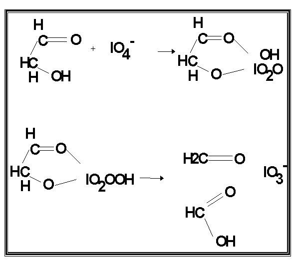
Reactieverloop:
Stap 1: splitsing van de C-C binding tussen twee vicinale alcoholen.

De reactie van malaprade: stap 1

Stap 2: splitsing van de C-C binding van het ontstane hydroxyethanal (alcohol- en aldehydegroep naast elkaar)

De reactie van malaprade: stap 2

Toelichting

Het gehalte van het meerwaardige alcohol is nu op drie manieren te bepalen: Deze reactie is ook te gebruiken als detectiemethode op een DLC plaat, Zie hiervoor de algemene DLC voor polaire verbindingen.

Farmaceutische Analyse 5e-jaar |

2 juli 1999