Universiteit Utrecht Faculteit Farmacie


Farmaceutische Analyse

Toets Grondstoffenonderzoek 26 november 1999


Geef bij elke vraag zonodig een berekening en verklaar altijd het antwoord, ook al wordt dit niet expliciet aangegeven !
Succes !

Raadpleeg bij de beantwoording van deze vragen de bijlage.

Raadpleeg ook de uitwerking van dit tentamen.


Vraag 1

Identification
Reactie C vertoont de kenmerken van een grensreactie.

a. Op welke soort deeltjes is dit een test?
b. Waarom staat deze test hier onder identificatie?

Vraag 2

Absorbance
Tussen welke grenzen moet de te meten extinctie (golflengte 353 nm, weglengte 1 cm) hier liggen voor een oxytetracyclinemonster dat aan alle eisen voldoet en 5,0% water bevat?

Vraag 3

Related substances
Bij het redigeren van de tekst van deze test hebben de opstellers van de monografie een vergissing begaan. Geef aan op welke plaats er iets tussen haakjes (..) ontbreekt, en wat daar dan had moeten staan.

Vraag 4

Heavy metals
Hier is het getal tussen haakjes vervangen door #. Geef de waarde ervan aan.

Vraag 5

Water
Als oplosmiddel voor het bij deze semi-micro bepaling van water gebruikte reagens, joodzwaveligzuur, wordt pyridine voorgeschreven. Volgens 2.5.12 mag dit reagens vervangen worden door commercieel verkrijgbare reagentia met een andere samenstelling (bv. vervanging van het onwelriekende oplosmiddel). Er moet dan wel aan een essentiële voorwaarde worden voldaan. Welke voorwaarde is dat?

Vraag 6

(Weegtoestellen)
Beschikbaar: A, een analytische balans waarmee men nog tienden van milligrammen kan aflezen; B, een bovenweger die de grammen weergeeft tot twee cijfers achter de komma; C. een torsiebalans waarmee men enkele milligrammen kan afwegen met een nauwkeurigheid van ca 10%; D. een kleine spatel.

Welk van bovenstaande hulpmiddelen moet men op z�n minst gebruiken voor het afwegen van het monster t.b.v.

a. Identificatietest B
b. De absorbance test
c. De test op heavy metals
d. De sulphated ash test

NB. Hier slechts een keuze maken. Toelichting niet nodig.

Vraag 7

Assay
a. Waarom wordt er in het loopmiddel voor de HPLC bepaling natriumedetaat gebruikt?
b. Waarom wordt hier, net als trouwens in veel andere monografieën, als detectiegolflengte 254 nm voorgeschreven?

Vraag 8

Assay (vervolg)

(Casus)

Bij ons onderzoek van een monster oxytetracycline hebben we een watergehalte vastgesteld van 5,0 % . De HPLC-apparatuur hebben we volgens de voorschriften ingesteld, waarna we ons er van vergewist hebben dat de standaarddeviatie en de resolutie aan de eisen voldeed. Vervolgens hebben we de meetresultaten verkregen die in onderstaande tabellen zijn weergegeven.

(gehalte)

afgewogen (/25,0 ml)

retentietijd

oppervlak

Testopl. (M1)

20,7 mg

296 s

203721

Testopl. (M2)

20,2 mg

295 s

198998

Ref. opl. (a) (1)

20,3 mg

295 s

216619

Ref. opl. (a) (2)

19,9 mg

296 s

212531

Ref. opl. (b)

20,1 mg

282 s

201028

Ref. opl. (c)

19,9 mg

314 s

196955

(zuiverheid T)

retentietijd

oppervlak

 

Testopl. (M1)

283 s

2052

 

 

296 s

203721

 

 

305 s *

2001

* : op staart van vorige piek

 

314 s

196

 

 

323 s

214

 

 

 

 

 

(zuiverheid R)

retentietijd

oppervlak

 

Ref. opl. (e)

283 s

1024

 

 

305 s

13

 

 

314 s

4103

 

a. Bereken het gehalte aan oxytetracycline en geef aan of de grondstof in dit opzicht voldoet aan de eisen.
b. Geef ook aan of aan de eis voor verwante verbindingen wordt voldaan.

Vraag 9

Impurities

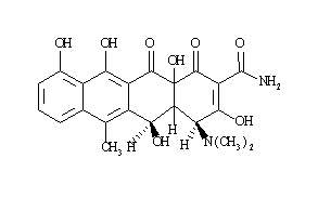
Behalve de impurities A t/m C uit de monografie kunnen we ons nog de anhydroverbinding D (zie bijlage) voorstellen als verontreiniging.
a. Bij welke zuiverheidstest(s) zal verontreiniging C zijn aanwezigheid verraden?
b. Bij welke zuiverheidstest(s) zal verontreiniging D zijn aanwezigheid verraden?
(Denk hierbij aan verontreinigingen in de orde van grootte van 1%)

Hieronder volgt de formule van de anhydro-verbinding. anhydro-oxytetracycline

Bijlage

1. Monografie van oxytetracycline:

OXYTETRACYCLINE
Oxytetracyclinum


C22H24N2O9
Mr 460.4

DEFINITION
Oxytetracycline is (4S,4aR,5S,5aR,6S,12aS)-4-dimethylamino-1,4,4a, 5,5a,6,11,12a-octahydro-3,5,6,10,12,12a-hexahydroxy-6-methyl-1,11-dioxonaphthacene-2-carboxamide, a substance produced by the growth of certain strains of Streptomyces rimosus or obtained by any other means. It contains a variable amount of water. It contains not less than 95.0 per cent and not more than the equivalent of 100.5 per cent of oxytetracycline, calculated with reference to the anhydrous substance.

CHARACTERS
A yellow, crystalline powder, very slightly soluble in water. It dissolves in dilute acid and alkaline solutions.

IDENTIFICATION
A. Examine by thin-layer chromatography (2.2.27), using silica gel H R as the coating substance. Adjust the pH of a 100 g/l solution of sodium edetate R to 7.0 with strong sodium hydroxide solution R and spray the solution evenly onto the plate (about 10 ml for a plate 100 mm � 200 mm). Allow the plate to dry in a horizontal position for at least 1 h. Before use, dry the plate in an oven at 110 �C for 1 h.

Test solution. Dissolve 5 mg of the substance to be examined in methanol R and dilute to 10 ml with the same solvent.

Reference solution (a). Dissolve 5 mg of oxytetra-cycline CRS in methanol R and dilute to 10 ml with the same solvent.

Reference solution (b). Dissolve 5 mg of oxytetra-cycline CRS and 5 mg of demeclocycline hydro-chloride CRS in methanol R and dilute to 10 ml with the same solvent.

Apply separately to the plate 1 ml of each solution. Develop over a path of 15 cm using a mixture of 6 volumes of water R, 35 volumes of methanol R and 59 volumes of methylene chloride R. Dry the plate in a current of air and examine in ultraviolet light at 365 nm. The principal spot in the chromatogram obtained with the test solution is similar in position, colour and size to the principal spot in the chromatogram obtained with reference solution (a). The test is not valid unless the chromatogram obtained with reference solution (b) shows two clearly separated spots.

B. To about 2 mg add 5 ml of sulphuric acid R. A deep red colour develops. Add the solution to 2.5 ml of water R. The colour becomes yellow.

C. Dissolve about 10 mg in a mixture of 1 ml of dilute nitric acid R and 5 ml of water R. Shake and add 1 ml of silver nitrate solution R2. Any opalescence in the solution is not more intense than that in a mixture of 1 ml of dilute nitric acid R, 5 ml of a 0.021 g/l solution of potassium chloride R and 1 ml of silver nitrate solution R2.

TESTS
pH (2.2.3). Suspend 0.1 g in 10 ml of carbon dioxide-free water R. The pH of the suspension is 4.5 to 7.5.

Specific optical rotation (2.2.7). Dissolve 0.250 g in 0.1 M hydrochloric acid and dilute to 25.0 ml with the same acid. The specific optical rotation is - 203� to - 216�, calculated with reference to the anhydrous substance.

Absorbance (2.2.25). Dissolve 20.0 mg in buffer solution pH 2.0 R and dilute to 100.0 ml with the same buffer solution. Dilute 10.0 ml of the solution to 100.0 ml with buffer solution pH 2.0 R. The specific absorbance determined at 353 nm is 290 to 310, calculated with reference to the anhydrous substance.

Light-absorbing impurities. Dissolve 20.0 mg in a mixture of 1 volume of 1 M hydrochloric acid and 99 volumes of methanol R and dilute to 10.0 ml with the same mixture of solvents. The absorbance (2.2.25), determined at 430 nm and calculated with reference to the anhydrous substance, is not greater than 0.25.

Dissolve 0.100 g in a mixture of 1 volume of 1 M hydrochloric acid and 99 volumes of methanol R and dilute to 10.0 ml with the same mixture of solvents. The absorbance, determined at 490 nm and calculated with reference to the anhydrous substance, is not greater than 0.20.

Carry out the measurements within 1 h of preparation of the solutions.

Related substances. Examine by liquid chromatography (2.2.29), as described under Assay. Inject the test solution and reference solution (e). In the chromatogram obtained with the test solution; the area of any peak corresponding to 4-epioxytetracycline or tetracycline is not greater than the area of the corresponding peak in the chromatogram obtained with reference solution (e) (0.5 per cent); the area of any peak appearing on the tail of the main peak is not greater than 4.0 times the area of the peak corresponding to 4-epioxytetracy-cline in the chromatogram obtained with reference solution (e) (2.0 per cent).

Heavy metals (2.4.8). 0.5 g complies with limit test C for heavy metals (50 ppm). Prepare the standard using 2.5 ml of lead standard solution (10 ppm Pb) R.

Water (2.5.12). 4.0 per cent to 8.0 per cent, determined on 0.250 g by the semi-micro determination of water.

Sulphated ash (2.4.14). Not more than 0.5 per cent, determined on 1.0 g.

ASSAY
Examine by liquid chromatography (2.2.29).

Test solution. Dissolve 20.0 mg of the substance to be examined in 0.01 M hydrochloric acid and dilute to 25.0 ml with the same acid.

Reference solution (a). Dissolve 20.0 mg of oxytetracycline CRS in 0.01 M hydrochloric acid and dilute to 25.0 ml with the same acid.

Reference solution (b). Dissolve 20.0 mg of 4-epioxytetra-cycline CRS in 0.01 M hydrochloric acid and dilute to 25.0 ml with the same acid.

Reference solution (c). Dissolve 20.0 mg of tetracycline hydrochloride CRS in 0.01 M hydrochloric acid and dilute to 25.0 ml with the same acid.

Reference solution (d). Mix 1.5 ml of reference solution (a), 1.0 ml of reference solution (b) and 3.0 ml of reference solution (c) and dilute to 25.0 ml with 0.01 M hydrochloric acid.

Reference solution (e). Mix 1.0 ml of reference solution (b) and 4.0 ml of reference solution (c) and dilute to 200.0 ml with 0.01 M hydrochloric acid.

The chromatographic procedure may be carried out using:

- a column 0.25 m long and 4.6 mm in internal diameter packed with styrene-divinylbenzene copolymer R (8 mm to 10 mm) and maintained at 60 �C,

- as mobile phase at a flow rate of 1.0 ml per minute a mixture prepared as follows: weigh 60.0 g of 2-methyl-2-propanol R and transfer to a 1000 ml volumetric flask with the aid of 200 ml of water R. Add 60 ml of 0.33 M phosphate buffer solution pH 7.5 R, 50 ml of a 10 g/l solution of tetrabutylammonium hydrogen sulphate R adjusted to pH 7.5 with dilute sodium hydroxide solution R and 10 ml of a 0.4 g/l solution of sodium edetate R adjusted to pH 7.5 with dilute sodium hydroxide solution R; dilute to 1000 ml with water R,

- as detector a spectrophotometer set at 254 nm,

- a 20 ml fixed loop injector.

Inject reference solution (d). Adjust the sensitivity of the detector to obtain peaks with a height corresponding to at least half of the full scale of the recorder. The test is not valid unless the resolution between the first peak (4-epioxytetra-cycline) and the second peak (oxytetracycline) is at least 4.0 and the resolution between the second peak (oxytetracycline) and the third peak (tetracycline) is at least 5.0. Adjust the 2-methyl-2-propanol content in the mobile phase if necessary. The symmetry factor for the second peak is not more than 1.25. Inject reference solution (a) six times. The assay is not valid unless the relative standard deviation for the peak area of oxytetracycline is at most 1.0 per cent. If necessary adjust the integrator parameters. Inject alternately the test solution and reference solution (a).

Calculate the percentage content of oxytetracycline.

STORAGE
Store in an airtight container, protected from light.

IMPURITIES


A. 4-epioxytetracycline

B. tetracycline,

C. 2-acetyl-2-decarboxamido-oxytetracycline.

1997:0199

2. grensreactie C op zware metalen

METHOD C

Place the prescribed quantity (not more than 2 g) of the substance to be examined in a silica crucible with 4 ml of a 250 g/l solution of magnesium sulphate R in dilute sulphuric acid R. Mix using a fine glass rod. Heat cautiously. If the mixture is liquid, evaporate gently to dryness on a water-bath. Progressively heat to ignition and continue heating until an almost white or at most greyish residue is obtained. Carry out the ignition at a temperature not exceeding 800 �C. Allow to cool. Moisten the residue with a few drops of dilute sulphuric acid R. Evaporate, ignite again and allow to cool. The total period of ignition must not exceed 2 h. Take up the residue in two quantities, each of 5 ml, of dilute hydrochloric acid R. Add 0.1 ml of phenolphthalein solution R, then concentrated ammonia R until a pink colour is obtained. Cool, add glacial acetic acid R until the solution is decolorised and add 0.5 ml in excess. Filter if necessary and wash the filter. Dilute to 20 ml with water R. To 12 ml of the solution thus obtained add 2 ml of buffer solution pH 3.5 R. Mix and add to 1.2 ml of thioacetamide reagent R. Mix immediately. Prepare a standard using 4 ml of a 250 g/l solution of magnesium sulphate R in dilute sulphuric acid R and the prescribed volume of lead standard solution (10 ppm Pb) R. In the same conditions as prescribed for the test, ignite, take up with hydrochloric acid, add ammonia and then acetic acid. Dilute to 20 ml with water R. To 10 ml of the solution add 2 ml of the solution obtained with the substance to be examined and 2 ml of buffer solution pH 3.5 R. Mix and add to 1.2 ml of thioacetamide reagent R. Mix immediately. Prepare a blank, using a mixture of 10 ml of water R and 2 ml of the solution obtained with the substance to be examined. Compared to the blank, the standard shows a slight brown colour.

After 2 min, any brown colour in the solution obtained with the substance to be examined is not more intense than that in the standard.


Farmaceutische Analyse 5e-jaar |

31 maart 2000
Staf Farmaceutische Analyse 5e-jaar