Universiteit Utrecht Faculteit Farmacie


Farmaceutische Analyse

Theoretische Toets Analyse van Bereidingen 10 april 2002

Raadpleeg ook de uitwerking van dit tentamen.


Beantwoord de onderstaande vragen en licht de antwoorden toe, ook wanneer dat niet expliciet gevraagd wordt.

Raadpleeg voorafgaande aan de beantwoording van de vragen de bijlagen.
Bij de beoordeling tellen alle 16 deelvragen even zwaar.

Een apotheker besluit capsules te maken met 5 mg dexamethason. Hij gebruikt hierbij lactose als hulpstof in plaats van het daarvoor gangbare primojelcapsulevulmengsel. Omdat zijn assistente klaagt over problemen bij het vullen van de capsules besluit de apotheker deze te analyseren. Eerst bepaalt de apotheker het gewicht van 10 lege capsules uit de gebruikte charge. Dit bedraagt 590,3 mg. Na weging van de gevulde capsules afzonderlijk brengt hij de inhoud ervan volledig over in een maatkolf van 200 ml. Hij brengt de dexamethason in oplossing door toevoeging van 100 ml methanol gevolgd door ultrasone behandeling. De verkregen suspensie verdunt hij vervolgens met water tot 200,0 ml. Hierbij ontstaat een heldere oplossing.
Als eerste bepaling voert de apotheker een UV-meting uit. Omdat de gevonden gehalten verder uiteenliggen dan hij verwacht had, vermoedt hij dat er mogelijk UV-absorberende verontreinigingen aanwezig zijn. Hij besluit daarom de monsteroplossingen nogmaals te onderzoeken met HPLC op een RP-18 kolom met een loopmiddel bestaande uit 50% MeOH in water.

capsulegewicht

in mg

gehalte in mg volgens

UV-bepaling

gehalte in mg volgens

HPLC bepaling

236,6

4,51

4,58

223,7

4,79

4,73

232,1

4,44

4,43

225,7

4,82

4,60

223,9

5,23

5,68

224,1

4,13

4,10

228,6

4,37

4,56

227,9

4,37

4,31

220,4

4,91

5,05

225,5

6,64

6,33

Vraag 1.
a. Bereken het gemiddeld capsulegewicht en de spreiding daarin.
    Is het gebruik van het gemiddeld leeg capsulegewicht toegestaan bij de bepaling van de gewichtsspreiding (uniformity of mass) ?
    Geef aan in hoeverre op grond van deze steekproef vastgesteld kan worden of de capsules aan de eisen van gelijkmatigheid van gewicht volgens de Europese Farmacopee voldoen.
b. Bereken de gemiddelde capsulegehalten volgens de UV- en de HPLC-bepaling en de spreidingen daarin. Bereken of deze gehalten significant (95% betrouwbaarheid) van de gedeclareerde waarde afwijken.

c. Voldoen de capsules aan de eisen voor de gelijkmatigheid van gehalte volgens de Europese Farmacopee ? Moeten deze capsules juridisch aan deze eis voor de gelijkmatigheid van gehalte voldoen ?

Vraag 2.
a. Wijken de uitkomsten van de HPLC- en de UV-bepaling significant (95% betrouwbaarheid) van elkaar af ?
b. Blijkt uit de verkregen meetwaarden dat er bij de UV-bepaling sprake is van UV-absorberende verontreinigingen ?
c. Is de spreiding in het capsulegehalte bij deze capsules te wijten aan een probleem bij het mengen of aan een probleem bij het vullen van de capsules ?
d. De spreiding in de uitkomsten volgens HPLC- en de UV-bepaling wordt veroorzaakt door de spreiding ten gevolge van de menging van de grondstoffen, het vullen van de capsules en de precisie van de analytische bepaling. Geef aan welke uitspraak er op grond van de gemeten waarden over de precisie van deze analytische bepalingen gedaan kan worden.

Vraag 3:
a. Welke extinctie heeft de apotheker gemeten (bij gebruik van 10 mm cuvetten) ? Heeft deze extinctie een acceptabele waarde ?
b. Hoe is op analytische wijze te controleren of verontreinigingen in de monsters de UV-bepaling storen ?

Een atlete heeft in haar sportschool ampullen gevonden, die met een lichtgele olieachtige vloeistof gevuld zijn. Omdat het gerucht gaat, dat er in de sportschool illegale injecties met nandrolon toegediend zouden worden, laat zij de ampullen door de plaatselijke ziekenhuisapotheker onderzoeken.
Volgens de literatuur zou nandrolon meestal in de vorm van nandrolonfenylpropionaat of nandrolondecanoaat in oplossingen van plantaardige oliën toegediend worden.

Vraag 4
a. Geef aan hoe de apotheker deze verbindingen uit de olie zou moeten isoleren als voorbereiding op een HPLC-analyse op een RP-18 HPLC-kolom.
b. Zouden deze beide verbindingen op een RP-18 HPLC-kolom gescheiden kunnen worden en, zo ja, welke verbinding zou dan het eerst geëlueerd worden ?

Vraag 5
a. Geef aan of er spectrale verschillen zijn in de spectra van de beide nandrolonesters.

Een apotheker onderzoekt een injectievloeistof met morfine voor epiduraal gebruik.
Het bereidingsvoorschrift voor dit preparaat luidt als volgt:

Vraag 6
a. Geef aan of de morfine in dit preparaat via een meting van de UV-extinctie bepaald kan worden en of het spectrum van morfine pH-afhankelijk is.
b. Geef aan hoe morfine uit dit preparaat als base geïsoleerd moet worden om hiervan een IR-spectrum te kunnen maken.
    Geef aan welke voorzorgen u neemt om sporen water en reagentia te verwijderen.
c. Geef aan hoe in dit preparaat het gehalte aan natrium en aan chloride bepaald kan worden.
    Geef bij eventueel gekozen titraties aan op welke wijze het eindpunt bepaald wordt en welke indicatoren en/of electroden daarbij gebruikt dienen te worden.
    Welke van deze beide bepalingen (natrium of chloride) verdient de voorkeur wanneer men daarmee de isotonie van de oplossing wil vaststellen ?
d. Geef aan op welke wijze vastgesteld kan worden of de toegevoegde hoeveelheid zoutzuur correct is.

Bijlage

In de monografie voor de geneesmiddelvorm capsules wordt de volgende test voorgeschreven:

TESTS
Uniformity of content (2.9.6). Unless otherwise prescribed or justified and authorised, capsules with a content of active substance less than 2 mg or less than 2 per cent of the total mass comply with test B for uniformity of content of single-dose preparations. If the preparation has more than one active substance, the requirement applies only to those ingredients which correspond to the above conditions.

Uniformity of mass (2.9.5). Capsules comply with the test for uniformity of mass of single-dose preparations. If the test for uniformity of content is prescribed for all the active substances, the test for uniformity of mass is not required.

2.9.5. UNIFORMITY OF MASS OF SINGLE-DOSE

Weigh individually twenty units taken at random or, for single-dose preparations presented in individual containers, the contents of twenty units, and determine the average mass. Not more than two of the individual masses deviate from the average mass by more than the percentage deviation shown in Table 2.9.5.-1 and none deviates by more than twice that percentage.

Table 2.9.5.-1

Pharmaceutical Form

Average Mass

Percentage

Deviation

Tablets (uncoated and film-coated)

80 mg or less

10

More than 80 mg and less than 250 mg

7.5

250 mg or more

5

Capsules, Granules (uncoated, single-dose) and Powders (single-dose)

Less than 300 mg

10

300 mg or more

7.5

Powders for Parenteral Use* (single-dose)

More than 40 mg

10

Suppositories and Pessaries

All masses

5

(*) When the average mass is equal to or below 40 mg, the preparation is not submitted to the test for uniformity of mass but to the test for uniformity of content of single-dose preparations (2.9.6).

For capsules and powders for parental use, proceed as described below.

2.9.6. UNIFORMITY OF CONTENT OF SINGLE-DOSE PREPARATIONS
The test for uniformity of content of single-dose preparations is based on the assay of the individual contents of active ingredient of a number of single-dose units to determine whether the individual contents are within limits set with reference to the average content of the sample.
The test is not required for multivitamin and trace-element preparations and in other justified and authorised circumstances.
Method. Using a suitable analytical method, determine the individual contents of active ingredient of ten dosage units taken at random.
Apply the criteria of test A, test B or test C as specified in the monograph for the dosage form in question.

TEST B
Capsules, powders other than for parenteral use, granules, suppositories, pessaries. The preparation complies with the test if not more than one individual content is outside the limits of 85 per cent to 115 per cent of the average content and none is outside the limits of 75 per cent to 125 per cent of the average content. The preparation fails to comply with the test if more than three individual contents are outside the limits 85 per cent to 115 per cent of the average content or if one or more individual contents are outside the limits of 75 per cent to 125 per cent of the average content.
If two or three individual contents are outside the limits of 85 per cent to 115 per cent but within the limits of 75 per cent to 125 per cent, determine the individual contents of another twenty dosage units taken at random. The preparation complies with the test if not more than three individual contents of the thirty units are outside the limits of 85 per cent to 115 per cent of the average content and none is outside the limits of 75 per cent to 125 per cent of the average content.

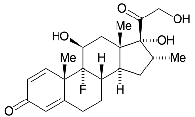
Dexamethason

C22H29FO5        MR 392,5


UV-spectrum (opgenomen in ethanol):
specifieke extinctie 394 (bij 238,5 nm)

CHARACTERS
A white or almost white, crystalline powder, practically insoluble in water, sparingly soluble in ethanol, slightly soluble in methylene chloride.

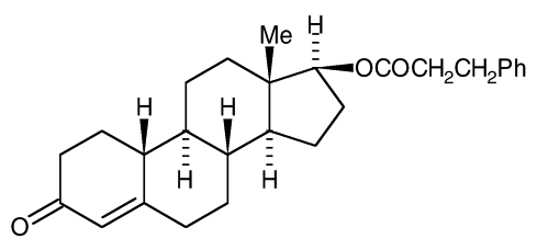
Nandrolon-decanoaat

C28H44O3        MR428,7


UV-spectrum (opgenomen in ethanol)
Specifieke extinctie 430 (bij 240 nm).

Characteristics
A white to creamy white, crystalline powder; odour, faint and characteristic. Practically insoluble in water; freely soluble in chloroform, in ethanol (96%), in ether, in fixed oils and in esters.

Nadrolonfenylpropionaat

C27H34O3        MR406,6

Characteristics
A white to creamy white, crystalline powder; odour, characteristic. Practically insoluble in water; soluble in ethanol (96%).

Morfinehydrochloride


UV-spectrum (opgenomen in verdund zoutzuur)
Specifieke extinctie 52 (bij 285 nm)

CHARACTERS
A white or almost white, crystalline powder or colourless, silky needles or cubical masses, efflorescent in a dry atmosphere, soluble in water and in glycerol, slightly soluble in alcohol.

pKa-waarden: 8,2 en 10,0


Farmaceutische Analyse 5e-jaar |

8 april 2002
Staf Farmaceutische Analyse 5e-jaar