Raadpleeg bij de beantwoording van deze vragen de bijlage.
Raadpleeg ook de uitwerking van dit tentamen.
Voor elke deelvraag zijn 5 punten te behalen op het totaal van 100.
Een ziekenhuisapotheker onderzoekt Betaxolol tabletten van 100 mg volgens het voorschrift uit de USP 23 (zie bijlage)
Bij de zesvoudige uitvoering van de gehaltebepaling (Assay) vindt de apotheker de volgende uitkomsten:
|
100,8 |
|
102,2 |
|
101,2 |
|
98,7 |
|
104,3 |
|
102,9 |
Bij het content uniformity onderzoek vindt de apotheker de volgende uitkomsten:
|
106,1 |
|
107,3 |
|
107,4 |
|
103,4 |
|
105,5 |
|
104,9 |
|
105,4 |
|
106,0 |
|
103,7 |
|
101,9 |
Vraag 1
a. Bereken het gemiddelde gehalte, de standaarddeviatie en het bijbehorende 95% betrouwbaarheidsinterval uit de uitkomsten van de gehaltebepaling (Assay).
b. Bereken het gemiddelde gehalte , de standaarddeviatie en het bijbehorende 95% betrouwbaarheidsinterval uit de uitkomsten van het content uniformity onderzoek.
c. Ga na of de gevonden gemiddelde uitkomsten significant (95% betrouwbaarheids interval) van elkaar verschillen.
d. Geef aan of een eventueel optredend beperkt significant verschil in dit geval bezwaarlijk zou zijn.
e. Geef aan op welke wijze het content uniformity onderzoek volgens de USP uitgebreid zou moeten worden en hoe de uitkomsten van het content uniformity onderzoek met die van de gehaltebepaling gecorreleerd moeten worden.
Vraag 2
a. Is het UV-spectrum van betaxolol afhankelijk van de pH van de oplossing ?
b. Is het mogelijk betaxolol in deze tabletten te bepalen door een titratie met perchloorzuur ?
c. Hoe zou u betaxolol als base uit deze tabletten kunnen isoleren voor het opnemen van een infraroodspectrum ? Geef hierbij aan welke voorzorgen u neemt om het product droog en zo zuiver mogelijk in handen te krijgen.
De apotheker is betrokken bij een researchproject waarbij de werkzaamheid van esters van betaxolol (als prodrugs) geëvalueerd wordt. De projectleider verzoekt de apotheker een bloedspiegelbepaling te ontwerpen waarbij betaxolol en de acetylester van betaxolol naast elkaar in serum aangetoond kunnen worden. Hij wil bovendien weten wat de gevoeligheid van de betreffende analysemethode is.
Vraag 3
a. Geef aan of de HPLC-methode die voor de gehaltebepaling van betaxolol gebruikt wordt (zie bijlage) in beginsel geschikt is om de stof van de acetylester te scheiden en waarop de scheiding berust.
b. Geef aan in welke volgorde de beide verbindingen geëlueerd worden.
De gebruikte HPLC-apparatuur vertoont bij de detectiegolflengte op de gevoeligheidsstand
0,01 AUFS (Absorbance Units Full Scale) een ruis van 1 procent. Voor het gebruikte type kolom geldt, dat bij injectie van 10 μl van een oplossing die 2000/(specifieke extinctie) mg per 100 ml bevat een piek met een extinctie van 0,1 verkregen wordt.Vraag 4
a. Geef aan hoeveel de minimaal detecteerbare hoeveelheid betaxolol (in μg) bedraagt.
b. Geef aan welke hoeveelheid betaxolol (in μg) er minimaal voor een bepaling geο
njecteerd moeten worden.
In de Britsche Farmacopee 1998 wordt het preparaat Sodium Bicarbonate Ear Drops beschreven (zie bijlage).
Vraag 5
a. Geef een methode om het bicarbonaatgehalte te bepalen
b. Geef een methode om het natriumgehalte te bepalen. In hoeverre stoort glycerol hierbij ?
c. Geef aan in hoeverre de gehaltebepaling van glycerol zoals beschreven in de Europese Farmacopee (zie bijlage) in dit preparaat toegepast kan worden.
d. Geef een andere variant van de titratie gebaseerd op de oxidatie van vicinaaldiolen met perjodaat en beshrijf de daarbij gebruikte reagentia en hun functie.
Testosteronenantaat (zie bijlage) wordt in de vorm van een oplossing in plantaardige olie via een intramusculaire injectie toegediend. De gebruikelijke concentratie in een dergelijk preparaat bedraagt 180 mg/ml .
Vraag 6
a. Geef aan hoe deze stof uit de matrix geïsoleerd kan worden voorafgaande aan een HPLC-bepaling op met octadecylgroepen gemodificeerd silicagel.
b. Is deze isolatie ook zinvol indien deze stof gechromatografeerd wordt in een systeem met ongemodificeerd silicagel (in de vorm van een kolom of DLC) met een daarbij passend loopmiddel ?
c. Geef aan in hoeverre de in de bijlage genoemde verontreinigingen op de kolom met octadecylgroepen gemodificeerd silicagel gescheiden zouden kunnen worden.
d.. Geef aan in hoeverre de in de bijlage genoemde verontreinigingen op ongemodificeerd silicagel gescheiden zouden kunnen worden.
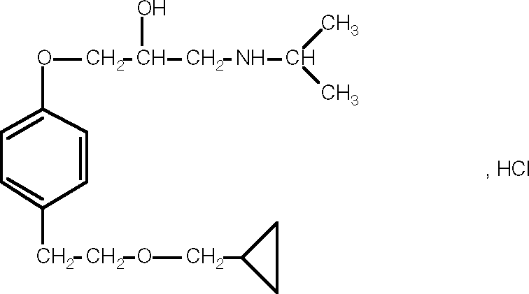
Betaxolol Hydrochloride

General Notices
C18H30ClNO3 343.9 63659-19-8
DEFINITION
Betaxolol hydrochloride contains not less than 98.5 per cent and not more than the equivalent of 101.5 per cent of (RS)-1-[4-[2-(cyclopropylmethoxy)ethyl]phenoxy]-3 -[(1-methylethyl)amino]propan-2-ol hydrochloride, calculated with reference to the dried substance.
CHARACTERS
A white or almost white, crystalline powder, very soluble in water, freely soluble in alcohol, soluble in methylene chloride, practically insoluble in ether.
pKa: 9,5 Specifieke extinctie: 50,7 (at 274 nm)
USP 23 monografie: Betaxolol Tablets
� Betaxolol Tablets contain an amount of Betaxolol Hydrochloride equivalent to not less than 90.0 percent and not more than 110.0 percent of the labeled amount of betaxolol hydrochloride (C18H29N03.HCl).
Packaging and storage�Preserve in tight containers.
Labeling�Label the Tablets to state both the content of the betaxolol active moiety and the content of betaxolol hydrochloride used in formulating them.
USP Reference standards <11> � USP Betaxolol Hydrochloride RS.
Identification�The retention time of the major peak in the chromatogram of the Assay preparation corresponds to that in the chromatogram of the Standard preparation as obtained in the Assay.
Dissolution <711> �
Medium: water; 500 mL.
Apparatus 2: 50 rpm.
Time: 30 minutes.
Procedure � Determine the amount of C18H29NO3. HCl dissolved from ultraviolet absorbances at the wavelength of maximum absorbance at about 274 nm of filtered portions of the solution under test in comparison with a Standard solution having a known concentration of USP Betaxolol Hydrochloride RS in the same medium.
A 5-cm pathlength cell may be used for lower dosage levels.
Tolerances�Not less than 80% (Q) of the labeled amount of C18H29N03. HCl is dissolved in 30 minutes.
Uniformity of dosage units (905): meet the requirements.
Procedure for content uniformity � Place 1 Tablet in a volumetric flask of appropriate size to obtain a concentration, based on the labeled amount of betaxolol hydrochloride per Tablet, of about 0.1 mg per mL when diluted. Add an amount of 0.1 N hydrochloric acid equal to about 70% of the volume of the flask, shake by mechanical means until dissolved, dilute with 0.1 N hydrochloric acid to volume, and mix. Filter the mixture, discarding the first 20 mL of the filtrate. Concomitantly determine the absorbances of the clear Filtrate and of a Standard solution of USP Betaxolol Hydrochloride RS in 0.1 N hydrochloric acid having a known concentration of about 0.1 mg per mL, in 1-cm cells, at the wavelength of maximum absorbance at about 274 nm, using 0.1 N hydrochloric acid as the blank. Calculate the quantity, in mg, of betaxolol hydrochloride (C18H29NO3 � HCl) in the Tablet taken by the formula:
(CV/N) (AU/AS),
in which C, is the concentration, in mg per mL, of USP Betaxolol Hydrochloride RS in the Standard solution, V is the volume, in mL, of 0.1 N hydrochloric acid used to dissolve the Tablet, and rU, and rS are the absorbances of the solution from the Tablet and the Standard solution, respectively.
Assay �
Mobile phase � Prepare a Filtered mixture of 0.025 M pH 6.0 ammonium phosphate buffer, acetonitrile, and methanol (35:35:30). Mix, and degas under vacuum while stirring. Make adjustments if necessary (see System Suitability under Chromatography <621>).
Diluent � Prepare a mixture of acetonitrile and water (1:1).
Standard preparation � Dissolve an accurately weighed quantity of USP Betaxolol Hydrochloride RS in Diluent to obtain a solution having a known concentration of about 2 mg per mL.
Assay preparation � Dissolve not less than 20 Tablets in an appropriate accurately measured volume of Diluent so that the Final concentration, based on the labeled amount per Tablet, is about 2 mg of betaxolol hydrochloride per mL. Sonicate until the Tablets are disintegrated. Cool to room temperature, dilute with Diluent to volume, mix, and filter. Use the clear Filtrate as the Assay preparation.
Chromatographic system (see Chromatography (621)) �
The liquid chromatograph is equipped with a 273-nm detector and a 15-cm X 4.6-mm column that contains packing L1*). The flow rate is about 1.5 mL per minute.
Chromatograph the Standard preparation, record the chromatogram, and measure the peak response as directed under Procedure: the tailing factor is not more than 3.0, and the relative standard deviation for replicate injections is not more than 2.0%.
Procedure�Separately inject equal volumes (about 10 UL) of the Standard preparation and the Assay preparation, record the chromatograms, and measure the responses for the major peaks.
Calculate the quantity, in mg, of betaxolol hydrochloride (C28H29N03 -HCl) in each Tablet taken by the formula:
( CV / N) (rU / rS),
in which C is the concentration, in mg per mL, of USP Betaxolol Hydrochloride RS in the Standard preparation, V is the volume of Diluent used to dissolve the Tablets, N is the number of Tablets taken, and rU and rS are the betaxolol peak responses obtained from the Assay preparation and the Standard preparation, respectively.
*) L1 - octadecylsilane chemically bonded to porous silica or ceramic microparticles, 3
- 10 μm in diameter.
Sodium Bicarbonate Ear Drops
Sodium Bicarbonate 5 g
Glycerol 30 ml
Purified Water, freshly boiled and cooled, sufficient to produce 100 ml
Sodium Bicarbonate
: NaHCO3, Mr 84.0
GLYCEROL (85 PER CENT) 2000: 0497
DEFINITION
Glycerol (85 per cent) is an aqueous solution containing not less than 83.5 per cent m/m and not more than 88.5 per cent m/m of propane-1,2,3-triol (C3H8O3; Mr 92.1).
CHARACTERS
A syrupy liquid, unctuous to the touch, colourless or almost colourless, clear, very hygroscopic, miscible with water and with alcohol, slightly soluble in acetone, practically insoluble in ether, in fatty oils and in essential oils.
ASSAY
Thoroughly mix 0.1000 g with 45 ml of water R. Add 25.0 ml of a 21.4 g/l solution of sodium periodate R. Allow to stand protected from light for 15 min. Add 5.0 ml of a 500 g/l solution of ethylene glycol R and allow to stand protected from light for 20 min. Using 0.5 ml of phenolphthalein solution R as indicator, titrate with 0.1 M sodium hydroxide. Carry out a blank titration.
1 ml of 0.1 M sodium hydroxide is equivalent to 9.21 mg of C3H8O3.
STORAGE
Store in an airtight container.
Testosterone Enantate
C26H40O3 400.6 315-37-7
DEFINITION
Testosterone enantate contains not less than 97.0 per cent and not more than the equivalent of 103.0 per cent of 3oxoandrost-4-en-17 b-yl heptanoate, calculated with reference to the dried substance.
CHARACTERS
A white or yellowish-white, crystalline powder, practically insoluble in water, very soluble in ethanol and in ether, freely soluble in fatty oils.
IMPURITIES

A. 3-oxoandrost-4-en-17 b-yl hexanoate (testosterone caproate),

B. 3-oxo-5 a-androstan-17 b-yl heptanoate,

C. 17 b-hydroxyandrost-4-en-3-one (testosterone).
19 juni 2000